Глава 4. Влияние силы всемирного тяготения на расширение Вселенной
§4.3. Фридмановские модели Вселенной: динамика
Для того, чтобы понять, как расширение Вселенной будет происходить в далеком
будущем, рассмотрим следующий пример. С поверхности планеты радиуса
r и массы M
запущена ракета с начальной
скоростью v.
Притяжение к планете тормозит движение ракеты. Если
скорость ракеты меньше скорости убегания (второй космической скорости),
равной
|
, |
(4.2) |
то в некоторый момент времени сила тяготения остановит
ракету, после чего она начнет движение в обратном направлении (уже с
возрастающей скоростью) и в конце концов упадет на планету. Если начальная
скорость ракеты больше или равна скорости убегания, то сила тяготения не
сможет остановить ракету, и она будет вечно удаляться от планеты. Различие
между случаями
v=vуб и
v>vуб
заключается в том, что в первом из
них скорость ракеты в бесконечности будет стремиться к нулю, тогда как во
втором — к некоторой ненулевой величине. Заметим, что чем больше радиус и чем
меньше масса планеты, тем легче ракете при данной начальной скорости преодолеть
силу притяжения.
Теперь вернемся к примеру с шаровой областью вещества во
Вселенной, рассмотренному в предыдущем разделе. Этот шар является типичной
областью пространства, и по его поведению можно судить о поведении Вселенной в
целом. Тогда какая-нибудь галактика, находящаяся на границе шара, будет
аналогом ракеты, а шар как целое — планеты (напомним, что вещество вне шара не
оказывает влияния на движение внутри него). Падению ракеты соответствует сжатие
шара, удалению ракеты — его расширение. Представим себе, что в начальный момент
времени эта шаровая область расширяется, т.е. галактики, находящиеся на краю
шара, удаляются от его центра. Масса всего шара радиуса
r есть
M=(4/3)πρr3,
а скорость удаления галактики определяется по закону Хаббла
v=Hr.
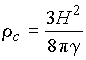
Подставляя эти величины в формулу (4.2), получаем, что скорости убегания
соответствует критическое значения плотности
|
. |
(4.3) |
При постоянной Хаббла
H=65 км/(с·Мпк)
критическая плотность равна 0.8·10-29 г/см3.
Отношение средней плотности к критической обозначается
Ω. При
Ω<1
расширение шара (а стало быть, и
всей Вселенной) будет вечным, причем скорости галактик никогда не будут
стремиться к нулю (модель I на рис. 4.3.1), при
Ω=1
расширение будет вечным, но в
бесконечности его скорость будет стремиться к нулю (модель II) и, наконец, при
Ω>1
расширение Вселенной неизбежно
должно остановиться и смениться сжатием (коллапсом), и через некоторое время
Вселенная обратно сожмется в точку
(сингулярность) (модель III); это событие обычно
называется “Большой Хруст”. По имени их первооткрывателя эти модели носят
название моделей Фридмана.
|

Рис. 4.3.1. Модели Фридмана:
I - Ω<1;
II - Ω=1;
III - Ω>1.
|
Необходимо добавить, что модель II — это единственная модель
Вселенной, в которой зависимость масштабного фактора
a от времени t можно
выразить в элементарных функциях:
где t0
— нынешний момент времени. Все остальные модели для своего полного описания
требуют специальных функций.
|