Глава 2. Вселенная расширяется
§2.6. Система отсчета, используемая в космологии
Прежде всего, мы должны уточнить, в каком смысле космологи употрябляют понятия
“расстояние, время, скорость”. Начнем с понятия времени. Представим себе, что
каждая галактика снабжена часами, показывающими время, прошедшее с момента
Большого взрыва. Из космологического принципа следует, что тогда, когда все
эти часы показывают одно и то же время, материя распределена равномерно. Время,
определяемое таким способом, назовем космическим временем.
Понятие расстояния вводится в космологии следующим образом.
Предположим, что каждая галактика снабжена достаточно длинным измерительным
стержнем, чтобы достать до своей ближайшей соседки. Мысленно протянув эту
линейку к соседней галактике, мы измерим расстояние до нее. Рассмотрим, далее,
прямолинейную цепочку галактик А1, А2, ..., АN.
Для того, чтобы измерить расстояние от А1 до АN, поступим
следующим образом: в один и тот же момент космического времени протянем
измерительный стержень от каждой галактики до ее ближайшей соседки и сложим
получившиеся расстояния, это и будет искомое расстояние
|А1АN|. Именно эта мысленная процедура имеется в виду,
когда мы говорим “от нас до галактики такой-то расстояние равно тому-то”.
Определив понятия расстояния и времени, нетрудно дать и
понятие скорости: под скоростью в космологии, как и вообще в физике,
подразумевается приращение расстояния между объектами (в данном случае,
галактиками) за единичное время. В этом определении нет ничего необычного,
только надо помнить, что расстояние и время определены с помощью тех мысленных
процедур, что были описаны выше. Заметим, что в закон Хаббла
v=Hr входят
скорость и расстояние, определенные именно так, как это было описано выше.
Если эти понятия определять как-то иначе, то
v и r,
вообще говоря, могут не быть пропорциональными друг другу.
|

Рис. 2.6.1. Расширение Вселенной как расширение пространства
с "вкрапленными" в него галактиками (A, B, C). Показана расширяющаяся сетка
координат и световая волна, испущенная одной из галактик в направлении нашей
Галактики.
|
Положение тела в пространстве расширяющейся Вселенной
определяется с помощью координатной сетки, растягивающейся вместе со Вселенной
(рис. 2.6.1). Две из этих космических координат характеризуют
положение галактики на небосводе, третья (обозначим ее
X) — удаленность от нас; подчеркнем,
эта координата жестко привязана к данной галактике и не меняется со временем.
Для определенности положим ее численно равной расстоянию до галактики в
настоящий момент t0.
Тогда расстояние в любой момент времени
определяется как
где a(t) —
величина, называемая масштабным фактором.
Она показывает, насколько было сжато пространство в момент
t. Если в настоящее время
a(t0)=1,
то в прошлом
a(t<t0)<1.
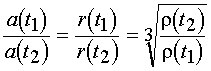
Ввиду однородности Вселенной величина a(t)
одна и та же для всех галактик, т.е. за одно и то же время все
межгалактические расстояния возрастают
в одинаковое число раз (связь этого утверждения с законом Хаббла была
продемонстрирована выше). Очевидно, средняя плотность вещества меняется обратно
пропорционально кубу масштабного фактора:
|
 |
(2.6) |
Движение относительно космической системы отсчета — это и
есть пекулярная скорость, упомянутая выше. Наше Солнце движется относительно
этой системы отсчета со скоростью около 370 км/с,
а Галактика — около
620 км/сек
(о том, как были измерены эти скорости, см. §6.2).
Подчеркнем, что движение в соответствии с законом Хаббла не сопровождается
изменением космических координат.
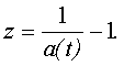
Длина волны света, путешествующего во внегалактическом
пространстве, также подчиняется соотношению (2.6) (см. рис.2.6.1). Поэтому если испущенная
галактикой в момент времени t
длина волны есть λ, то длина волны
принятого нами света окажется равной
λ'=λ/a(t).
Подставив это значение в формулу (2.1), получаем:
|
 |
(2.7) |
Обратим внимание: при выводе этой формулы мы нигде не
используя понятие скорости удаления галактики-источника, оперируя только
понятием расширения пространства. Можно показать, что в состав красного
смещения, определяемого по формуле (2.7), входит и эффект Доплера (причем с
учетом релятивистских поправок), и замедление времени в гравитационном поле,
предсказываемое общей теорией относительности Эйнштейна.
Из формулы (2.7) следует, например, что если наблюдается
объект с красным смещением z=4,
то в момент испускания света Вселенная была в 5 раз более сжатой.
Соответственно, в пять раз больше была кривизна пространства и в 125 — средняя
плотность вещества.
С помощью формулы (2.7) можно вычислить, при каких красных
смещениях заведомо не могут наблюдаться галактики. В настоящее время средние
расстояние между звездными системами примерно в 30 раз больше, чем их размеры.
Однако расстояния между галактиками возрастают, а их размеры — практически нет
(если не учитывать слияния между галактиками, которые в настоящее время очень
редки). Это значит, что при красных смещениях около 30 галактики заполняли
собой все пространство, а еще раньше их в принципе быть не могло — во всяком
случае, в современном виде.
|